Задания Д14 C14. Органика. Взаимосвязь между основными
Пройти тестирование по этим заданиям
Вернуться к каталогу заданий
Версия для печати и копирования в MS Word
Изопропиловый спирт используют как универсальный растворитель: он входит в состав средств бытовой химии, парфюмерной и косметической продукции, стеклоомывающих жидкостей для автомобилей. В соответствии с приведённой ниже схемой составьте уравнения реакций получения этого спирта. При написании уравнений реакций используйте структурные формулы органических веществ.
Этилен важное вещество в химической промышленности. Его используют для получения полиэтилена, винилхлорида, винилацетата и многого другого. В соответствии с приведённой ниже схемой замените знаки «?» на реагенты или продукты реакции. Вещества должны соответствовать номеру реакции.
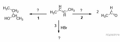
Пропилен важное вещество в химической промышленности. Его используют для получения полипропилена, изопропилового спирта, ацетона и многого другого. В соответствии с приведённой ниже схемой замените знаки «?» на реагенты или продукты реакции. Вещества должны соответствовать номеру реакции.
Бутилен-2 важное вещество в химической промышленности. Его используют для получения полибутилена, бутанола, изооктана и многого другого. В соответствии с приведённой ниже схемой замените знаки «?» на реагенты или продукты реакции. Вещества должны соответствовать номеру реакции.
Бутилен-1 важное вещество в химической промышленности. Его используют для получения бутадиена, бутанола, изооктана и многого другого. В соответствии с приведённой ниже схемой замените знаки «?» на реагенты или продукты реакции. Вещества должны соответствовать номеру реакции.
Пройти тестирование по этим заданиям

